实验环境是在阿里云的云服务器上配置的,推荐使用该方式,方便快捷,就不在此赘述了

Project0主要是考察Modern C++编程基础,难度不大,2022fall的目标是实现一个字典树(Trie);

字典树(Trie)

字典树(Trie)是一种树形数据结构,用于高效地存储和检索字符串数据集中的键(高效地进行前缀匹配)。Trie 的本质是一个多叉树,每个节点有多个孩子,每个孩子对应一个字符,每个节点有一个布尔值表示当前节点是否是一个单词的结尾。
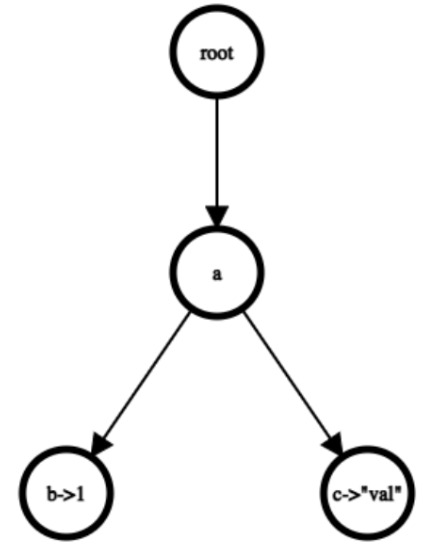
例如插入两个键值对 (“ab”, 1) 和 (“ac”, “val”),则形成下图的结构:
Trie
root 是根节点,不存储键;a 是一个非终结节点,只存储键;下层的两个节点是终结节点,除了键还要存储一个任意类型的值。每个节点有一个 map 存储以每个子节点的键索引的子节点。

在该项目中,主要有三个类:

  • TrieNode: 表示非终结节点,成员为键,是否是终结节点的标记,子节点 map
1
2
3
4
5
6
7
8
TrieNode:
/** Key character of this trie node */
char key_char_;
/** whether this node marks the end of a key */
bool is_end_{false};
/** A map of all child nodes of this trie node, which can be accessed by each
* child node's key char. */
std::unordered_map<char, std::unique_ptr<TrieNode>> children_;
  • TrieNodeWithValue: 表示终结节点,继承自TrieNode,表示终结节点,带有一个 T 类型的 value
  • Trie: 表示整个 Trie 树
1
2
3
4
5
Trie:
/* Root node of the trie */
std::unique_ptr<TrieNode> root_;
/* Read-write lock for the trie */
ReaderWriterLatch latch_;

TrieNode 实现

TrieNode 构造函数

1
2
3
4
5
6
7
8
9
10
11
12
13
14
15
16
17
18
19
20
21
22
23
24
25
26
/**
* TODO(P0): Add implementation
*
* @brief Construct a new Trie Node object with the given key char.
* is_end_ flag should be initialized to false in this constructor.
*
* @param key_char Key character of this trie node
*/
explicit TrieNode(char key_char) {
this->key_char_ = key_char;
this->is_end_ = false;
}

/**
* TODO(P0): Add implementation
*
* @brief Move constructor for trie node object. The unique pointers stored
* in children_ should be moved from other_trie_node to new trie node.
*
* @param other_trie_node Old trie node.
*/
TrieNode(TrieNode &&other_trie_node) noexcept {
this->key_char_ = other_trie_node.key_char_;
this->is_end_ = other_trie_node.is_end_;
this->children_ = std::move(other_trie_node.children_); // this?
}

需要注意的是移动构造函数(move constructor),由于 unique_ptr 表示独占性资源,没有拷贝构造函数,所以这里我们要用 std::move

TrieNode 成员函数

1
2
3
4
5
6
7
8
9
10
11
12
13
14
15
16
17
18
19
std::unique_ptr<TrieNode> *InsertChildNode(char key_char, std::unique_ptr<TrieNode> &&child) {
if (children_.find(key_char) != children_.end()) {
return nullptr;
}
if (child->key_char_ != key_char) {
return nullptr;
}
children_[key_char] = std::move(child);
return &children_[key_char];
}


std::unique_ptr<TrieNode> *GetChildNode(char key_char) {
if (children_.find(key_char) != children_.end()) {
return &children_[key_char];
}
return nullptr;
}

大多数成员函数的实现都很简单,只是注意在InsertChildNode()与GetChildNode()中,因为 unique_ptr 是独占性指针不能拷贝,返回值是 unique_ptr 的指针。

TrieNodeWithValue 实现

1
2
3
4
// Construct a new TrieNodeWithValue
TrieNodeWithValue(char key_char, T value) : TrieNode(key_char), value_(value) { is_end_ = true; }
// Construct a new TrieNodeWithValue object from a TrieNode object and specify its value.
TrieNodeWithValue(TrieNode &&trieNode, T value) : TrieNode(std::move(trieNode)), value_(value) { is_end_ = true; }

该类的is_end_始终为true

Trie 实现

1
Trie() { root_ = std::make_unique<TrieNode>('\0'); }

构造函数,根节点不携带键

Insert()
沿 Trie 树搜索到键的最后一个字符,过程中如果节点不存在就创建。对于最后一个键的字符分三种情况:

  • 如果相应节点不存在,创建一个终结节点 TrieNodeWithValue,插入成功;
  • 如果相应节点存在但不是终结节点(通过 is_end_ 判断),将其转化为 TrieNodeWithValue 并把值赋给该节点,该操作不破坏以该键为前缀的后续其它节点(children_ 不变),插入成功;
  • 如果相应节点存在且是终结节点,说明该键在 Trie 树存在,规定不能覆盖已存在的值,返回插入失败。
1
2
3
4
5
6
7
8
9
10
11
12
13
14
15
16
17
18
19
20
21
22
23
24
25
26
27
28
29
30
31
32
33
34
35
36
37
template <typename T>
bool Insert(const std::string &key, T value) {
latch_.WLock();
if (key.empty()) {
latch_.WUnlock();
return false;
}
auto current = &root_;
size_t i = 0;
// 找,找不到就新建,只到key的倒数第二个字符
while (i + 1 < key.size()) {
if ((*current)->GetChildNode(key[i]) == nullptr) {
std::unique_ptr<TrieNode> tmp = std::make_unique<TrieNode>(key[i]);
(*current)->InsertChildNode(key[i], std::move(tmp));
}
current = (*current)->GetChildNode(key[i]);
i++;
}
// 第一种情况,末尾结点不存在
if ((*current)->GetChildNode(key[i]) == nullptr) {
std::unique_ptr<TrieNodeWithValue<T>> tmp = std::make_unique<TrieNodeWithValue<T>>(key[i], value);
(*current)->InsertChildNode(key[i], std::move(tmp));
latch_.WUnlock();
return true;
}
// 第二种情况,将普通结点转化为带value的结点
current = (*current)->GetChildNode(key[i]);
if (!(*current)->IsEndNode()) {
auto *tmp = new TrieNodeWithValue<T>(std::move(*(*current)), value);
current->reset(tmp);
latch_.WUnlock();
return true;
}
// 第三种情况
latch_.WUnlock();
return false;
}

Remove()

  • 递归地沿 Trie 树逐字符向下搜索给定键,如果中途发现不存在直接返回 false。
  • 如果找到了,则将该节点的 is_end_ 标为 false(此时虽然其值仍存在,但会被我们视为非终结节点)。如果该节点没有子节点,则可以删除。
  • 递归回溯,如果其 parent 节点在移除该子节点后没有其它子节点并且不是终结节点,也删除。
1
2
3
4
5
6
7
8
9
10
11
12
13
14
15
16
17
18
19
20
21
22
23
24
25
26
27
28
29
30
31
bool Remove(const std::string &key) {
latch_.WLock();
if (key.empty()) {
latch_.WUnlock();
return false;
}
auto cur = &root_;
bool success = false;
RemoveInner(key, 0, cur, &success);
latch_.WUnlock();
return success;
}
bool RemoveInner(const std::string &key, size_t i, std::unique_ptr<TrieNode> *cur, bool *success) {
if (i == key.size()) {
*success = true;
(*cur)->SetEndNode(false);
return !(*cur)->HasChildren();
}
if ((*cur)->GetChildNode(key[i]) == nullptr) {
*success = false;
return false;
}
bool can_remove = RemoveInner(key, i + 1, (*cur)->GetChildNode(key[i]), success);
if (!*success) {
return false;
}
if (can_remove) {
(*cur)->RemoveChildNode(key[i]);
}
return !(*cur)->HasChildren() && !(*cur)->IsEndNode();
}

GetValue

沿 Trie 树查找,如果键不存在,或者节点中存储的值类型与函数调用的类型 T 不一致,将 *success 标识设为 false。
类型判断的方式是使用 dynamic_cast。

1
2
3
4
5
6
7
8
9
10
11
12
13
14
15
16
17
18
19
20
21
22
23
24
25
26
27
28
29
30
template <typename T>
T GetValue(const std::string &key, bool *success) {
// *success = false;
// return {};
latch_.RLock();
if (key.empty()) {
*success = false;
latch_.RUnlock();
return {};
}
auto cur = &root_;
for (auto &c : key) {
if (!(*cur)->HasChild(c)) {
*success = false;
latch_.RUnlock();
return {};
}
cur = (*cur)->GetChildNode(c);
}
auto ret_value = dynamic_cast<TrieNodeWithValue<T> *>(cur->get());
if (ret_value == nullptr) {
*success = false;
latch_.RUnlock();
return {};
}
*success = true;
latch_.RUnlock();
return ret_value->GetValue();
}
};

测试

1
2
3
cd build
make starter_trie_test
./test/starter_trie_test

代码格式化

1
2
3
make format
make check-lint
make check-clang-tidy-p0